R语言绘制Radar chart雷达图示例教程
R语言教程 12-07
R语言UpSet包实现集合可视化示例
R语言教程 12-07
R语言R包ggtreeExtra绘制进化树
R语言教程 12-07
R语言UpSet包实现集合可视化示例详解
R语言教程 12-07
R语言教程
R语言绘图数据可视化Pie chart(饼图)的画法
今天要给大家介绍的Pie chart(饼图),本来是不打算写这个的,因为用Excel画饼图实在是太方便了。本着能少动一下是一下的懒人原则,是不打算用R画的,再说,本小仙不是掌握了R作图大器gg...
R语言数据可视化绘图Slope chart(坡度图)的画法
今天小仙给大家分享一下Slope chart(坡度图)的画法,我在paper中看到的图是这样的这个图的意思大概是Nasal Tissue比Brochial Tissue的ACE2表达量高(ACE2就是新冠病毒的受体啦) 。为了复刻这张图,小仙捏造了一组差不多的数据,竟然感觉比原图好看!...
R语言数据可视化绘制Circular bar plot实现环形柱状图
R语言作图系列的更新频率跟理想中的一月一次差别有点忒大了,不得不让小仙陷入深深的反思,对于时间的规划也有了一些新的感悟。不知道大家有没有跟我一样的感受啊,举些例子:放学...
R语言绘图技巧导出高清图方法
上一次小仙同学分享了 facet violin plot的画法,最后还卖了个关子,给大家留了个悬念。科研文章的插图通常要求比较高,不仅要精准地展示出数据,选对图表类型,还需要简洁优美(?翻译...
R语言绘图数据可视化Ridgeline plot(山脊图)的画法
今天给大家介绍一下Ridgeline plot(山脊图)的画法。首先要把你想要绘图的数据调整成R语言可以识别的格式,建议大家在excel中保存成csv格式。...
R语言绘制3D数据可视化scatter散点图实现步骤
今天主要给大家介绍一下plotly这个R包,顺便分享下3D散点图的画法。plotly是一个在线的数据分析和可视化工具,图表类型丰富、可交互等等一堆优点,关键是它还有相应的R包和Python包。R包的绘图风格是这个样子的,是不是还挺好看...
-
R语言列表和数据框的具体使用
1.列表列表“list”是一种比较的特别的对象集合,不同的序号对于不同的元素,当然元素的也可以是不同类型的,那么我们用R语言先简单来构造一个列表。1.1创建> a<-c(1:2...
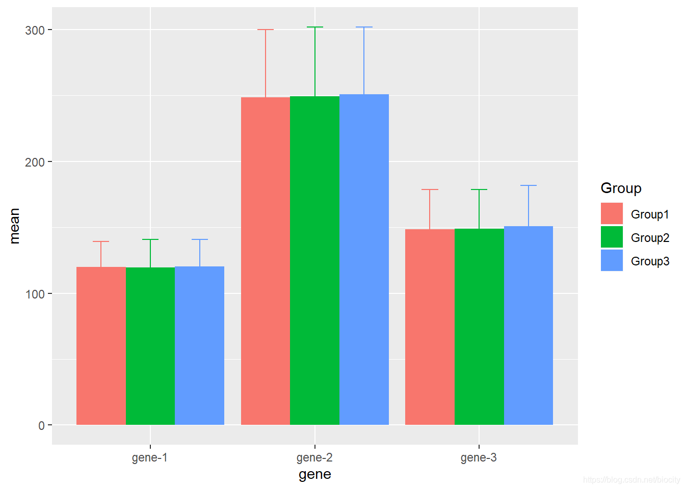
R语言绘制带ErrorBar的分组条形图代码的分享
笔者近期画了一张带error bar的分组条形图,将相关的代码分享一下。本文旨在给出一种利用R对生物学重复数据画带error bar的分组条形图的方法。...
R语言绘制数据可视化小提琴图画法示例
小提琴图之前已经画过了,不过最近小仙又看到一种貌美的画法,决定复刻一下。
文献中看到的图如下:Step1. 绘图数据的准备首先要把你想要绘图的数据调整成R语言可以识别的格式,建...
R语言EBImage包读取、写入、处理和分析图像处理
EBImage是R的一个扩展包,提供了用于读取、写入、处理和分析图像的通用功能,非常容易上手。EBImage包在Bioconductor中,通过以下命令进行安装。...
R语言绘制数据可视化Dumbbell plot哑铃图
今天给大家分享的图是哑铃图(Dumbbell plot)。首先要把你想要绘图的数据调整成R语言可以识别的格式,建议大家在excel中保存成csv格式。...
基于R语言中raster包读取、处理栅格图像数据的方法
本文介绍基于R语言中的raster包,读取单张或批量读取多张栅格图像,并对栅格图像数据加以基本处理的方法。我们需要配置好对应的R语言包;前面也提到,我们这里选择基于raster包来实现栅格图像数据的读取与处理工作。...
基于R语言实现地理探测器(Geodetector)操作方法
本文介绍基于R语言中的geodetector包,依据多张栅格图像数据,实现地理探测器(Geodetector)操作的详细方法。在R语言中进行地理探测器操作,可以分别通过geodetector包、GD包等2个包实现。其中,geodetector包是地理探测器模型的原作者团队早先开发的,...

