R语言ggplot2拼图包patchwork的安装使用方法
patchwork是基于ggplot2的拼图包,因为ggplot2本身没有强大的拼图语法,而一般使用的gridExtra与cowplot的拼ggplot2图形都存在不少问题。我关注这个包蛮久了,现在Github上的Star
patchwork是基于ggplot2的拼图包,因为ggplot2本身没有强大的拼图语法,而一般使用的gridExtra与cowplot的拼ggplot2图形都存在不少问题。
我关注这个包蛮久了,现在Github上的Star数已经远超大部分的R包,但似乎还没有发布到CRAN。我的工作看似跟作图相关,写的博文大多数也如此,但实际对图形的掌控力并不咋的,所以还是要多多学习。
下面进入正题,掌握好ggplot2与patchwork的基本用法,一般的图形都可以搞定了,并必要搞的很复杂。解决问题是关键,认真工作也是关键,画图看起来是,其实不是。
安装
# 需要提取安装好devtools包,
# 如果你解决安装和载入包很麻烦,可以试试pacman包,我在简书写了介绍和简单使用
devtools::install_github("thomasp85/patchwork")
导入:
p_load(patchwork) # 或 # library(patchwork)
例子
patchwork的使用灰常简单,使用+把要拼的图加在一起就可以了。
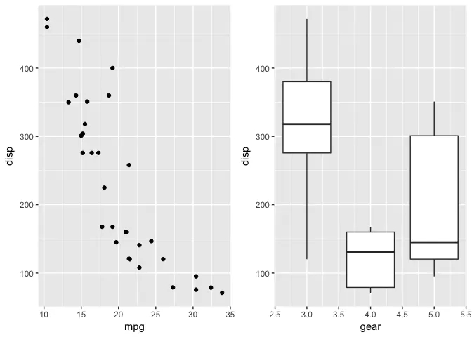
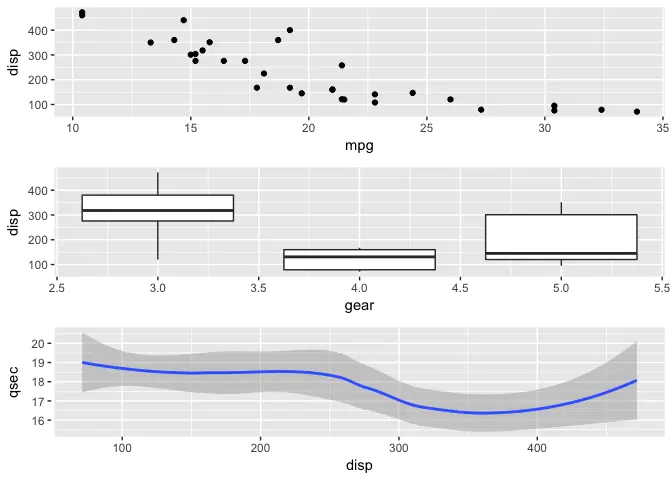
library(ggplot2) library(patchwork) p1 <- ggplot(mtcars) + geom_point(aes(mpg, disp)) p2 <- ggplot(mtcars) + geom_boxplot(aes(gear, disp, group = gear)) p1 + p2

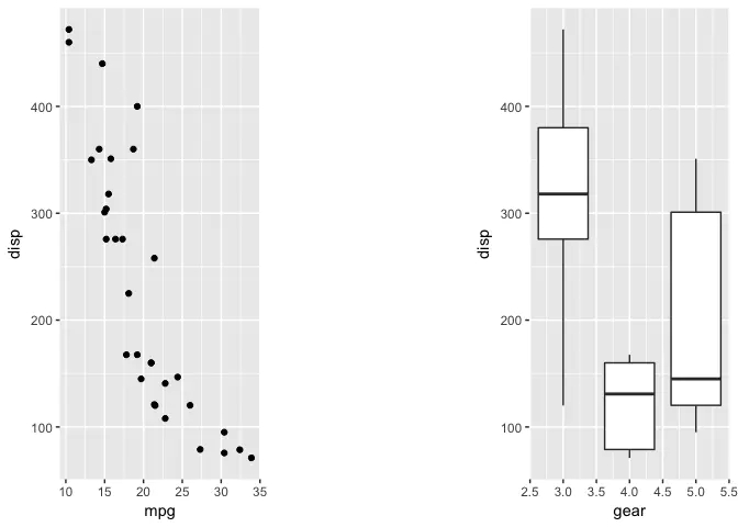
我们不用创建对象,也可以像ggplot2本身使用一样相加。
ggplot(mtcars) + geom_point(aes(mpg, disp)) + ggplot(mtcars) + geom_boxplot(aes(gear, disp, group = gear))

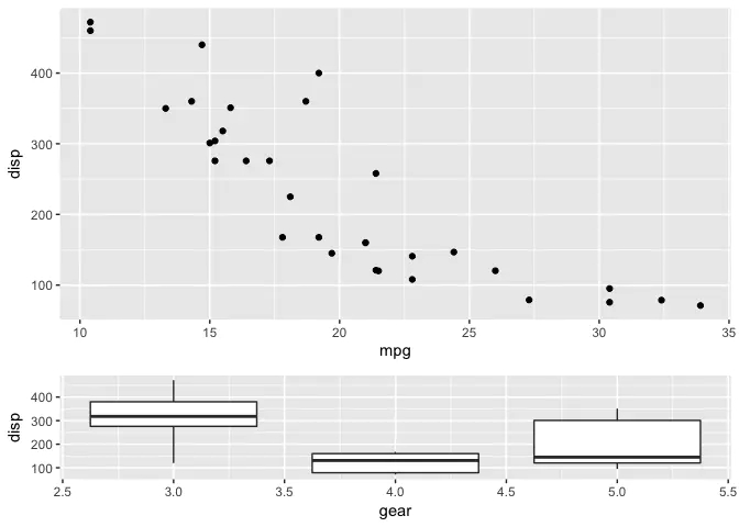
另外,可以使用布局函数plot_layout对拼接细节进行更细致地指定,像每个图的范围,图形的排列。
p1 + p2 + plot_layout(ncol = 1, heights = c(3, 1))

如果你想要在图形之间添加一些空间,可以使用plot_spacer()填充一个空白格。
p1 + plot_spacer() + p2

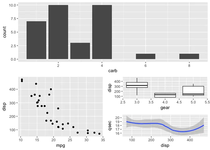
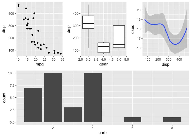
增加花括号的使用进行嵌套可以布置更复杂的图形:
p3 <- ggplot(mtcars) + geom_smooth(aes(disp, qsec))
p4 <- ggplot(mtcars) + geom_bar(aes(carb))
p4 + {
p1 + {
p2 +
p3 +
plot_layout(ncol = 1)
}
} +
plot_layout(ncol = 1)
## `geom_smooth()` using method = 'loess' and formula 'y ~ x'

括号也是可以的:
p3 <- ggplot(mtcars) + geom_smooth(aes(disp, qsec))
p4 <- ggplot(mtcars) + geom_bar(aes(carb))
p4 + (
p1 + (
p2 +
p3 +
plot_layout(ncol = 1)
)
) +
plot_layout(ncol = 1)
## `geom_smooth()` using method = 'loess' and formula 'y ~ x'
高级特性
除了将图形添加到一起,patchwork定义了一些有意思的操作符,,简化了上面的嵌套语法。-操作符将左右两边的对象放在同一个嵌套层,而不是像+号把右边放入左边的嵌套层。
p1 + p2 + p3 + plot_layout(ncol = 1) ## `geom_smooth()` using method = 'loess' and formula 'y ~ x'

p1 + p2 - p3 + plot_layout(ncol = 1) ## `geom_smooth()` using method = 'loess' and formula 'y ~ x'

现在p1+p2与p3在同一嵌套层。
|与/操作符可以用来水平和垂直布局。
(p1 | p2 | p3) /
p4
## `geom_smooth()` using method = 'loess' and formula 'y ~ x'

子图多的时候同时修改图形比较麻烦,patchwork提供了*与&用来简化代码,它们都可以将同一个操作应用到所有图形。
(p1 + (p2 + p3) + p4 + plot_layout(ncol = 1)) * theme_bw() ## `geom_smooth()` using method = 'loess' and formula 'y ~ x'

需要注意*只会应用到当前嵌套层。
p1 + (p2 + p3) + p4 + plot_layout(ncol = 1) & theme_bw() ## `geom_smooth()` using method = 'loess' and formula 'y ~ x'

&可以用递归的方式应用到所有层面。
以上就是R语言ggplot2拼图包patchwork安装使用的详细内容,更多关于R语言ggplot2拼图包patchwork的资料请关注其它相关文章!
声明:本文来自互联网用户投稿,该文观点仅代表作者本人,不代表本站立场。文章及其配图仅供学习和交流之用,版权归原作者所有,如有内容侵权或者其他违规问题,请联系本站处理。











